东方市羽覃文化传媒有限公司
首页
企业简介
产品大全
联系我们
企业信息
在线留言
产品列表
PRODUCT
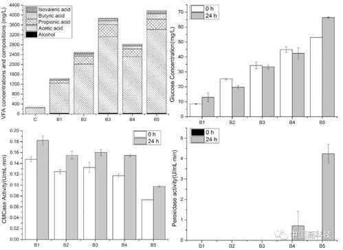
中科院科学家提出新方法 前沿科技助力提升纤维素生物质厌氧发酵沼气产量与生物质能资源数据库信息系统
如若转载,请注明出处:http://www.wwphce.com/product/list-2.html
1
1
2